.box_article .article_cont p code
참고 커널 URL
https://www.kaggle.com/bertcarremans/data-preparation-exploration
Data Preparation & Exploration
Explore and run machine learning code with Kaggle Notebooks | Using data from Porto Seguro’s Safe Driver Prediction
www.kaggle.com
https://www.kaggle.com/aharless/xgboost-cv-lb-284
XGBoost CV (LB .284)
Explore and run machine learning code with Kaggle Notebooks | Using data from Porto Seguro’s Safe Driver Prediction
www.kaggle.com
모델 구조
<대회 설명>
Porto Seguro는 브라질의 자동차 보험 회사
<대회 목적>
어떤 차주가 내년에 보험 청구 할 확률 예측
<데이터 특징>
<데이터 평가>
지니 계수를 이용하여 데이터의 성능을 평가함.
지니 계수 : 경제적 불평등을 계수화할 때 주로 사용하는 지표

위 그림에서 A/(A+B)가 지니 계수
Actual 값이 가지고 있는 불평등 정도 / Actual-Prediction 간의 불평등 정도
<지니 계수 쓰는 이유>
imbalanced data 이기 때문에 이들의 평가를 위한 임계값을 어떻게 정하느냐에 따라 예측값이 바뀌므로 면적으로 스코어를 매겨 이러한 문제를 해결하기 위함
해당 캐글 커널의 특이점 : Meta Data 사용
해당 데이터는 column이 58개로 머신러닝에서 많은 편에 속하기 때문에 데이터의 역할,종류,데이터타입 등을 표로 출력하여 만들면 변수 컨트롤에 용이함.

타겟평균 0.0365 : 굉장히 불균형 데이터
-> 해결방안
undersampling 비율
$$ {(1-\alpha)*\beta_1 \over \beta_2*\alpha}$$
desired_apriori = 0.1
idx_0 = train[train.target == 0].index
idx_1 = train[train.target == 1].index
nb_0 = len(train.loc[idx_0])
nb_1 = len(train.loc[idx_1])
undersampling_rate = ((1-desired_apriori)*nb_1)/(nb_0*desired_apriori)
undersampled_nb_0 = int(undersampling_rate*nb_0)
print('Rate to undersample records with target=0 : {}'.format(undersampling_rate))
print('Number of records with target=0 after undersampling : {}'.format(undersampled_nb_0))
undersampled_idx = shuffle(idx_0, random_state = 37,
n_samples = undersampled_nb_0)
idx_list = list(undersampled_idx) + list(idx_1)
train = train.loc[idx_list].reset_index(drop=True)
Rate to undersample records with target=0 : 0.34043569687437886
Number of records with target=0 after undersampling : 195246
해당 커널에서는 Simple Imputation을 활용
연속형
Variable ps_ind_02_cat has 103 records (0.05%) with missing values
Variable ps_ind_04_cat has 51 records (0.02%) with missing values
Variable ps_ind_05_cat has 2256 records (1.04%) with missing values
Variable ps_reg_03 has 38580 records (17.78%) with missing values
Variable ps_car_01_cat has 62 records (0.03%) with missing values
Variable ps_car_02_cat has 2 records (0.00%) with missing values
Variable ps_car_03_cat has 148367 records (68.39%) with missing values
Variable ps_car_05_cat has 96026 records (44.26%) with missing values
Variable ps_car_07_cat has 4431 records (2.04%) with missing values
Variable ps_car_09_cat has 230 records (0.11%) with missing values
Variable ps_car_11 has 1 records (0.00%) with missing values
Variable ps_car_14 has 15726 records (7.25%) with missing values
In total, there are 12 variables with missing values
해당 커널에서는 distinct value가 많은 ps_car_11_cat 변수들에 대해서는 mean encoding을 사용하였고, 나머지 범주형 변수들에 대해서는 더미 변수를 생성하는 one-hot encoding의 방식 사용
Mean encoding이란?
<목표>
카테고리 변수에 대하여 (여기서는 104개의 카테고리를 가진 ps_car_11_cat 변수에 대하여) 단순하게 0,1로 구분된 target값에 대한 의미를 가지도록 만드는 것
<Method>
카테고리 변수의 Label 값에 따라서 Target 값의 평균을 구해 각 Label이 Target과 가지는 상관성, 영향 도출
<문제점>
1. target값을 이용해 계산하기 때문에 overfitting의 문제가 발생할 수 있음 -> 이 커널에서는 noise를 추가하는 방식으로 이 문제를 해결
2. test 데이터와 train 데이터 간의 분포가 다른 경우 (ex. 한쪽이 불균형 데이터인 경우) 이때도 마찬가지로 overfitting의 문제 발생 가능 -> Smoothing을 통해 문제 해결
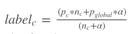
Smoothing 공식


이 커널에서는 SelectFromModel을 사용하여 중위수 50% 이상의 분산을 가진 값만 활용
X_train = train.drop(['id','target'],axis=1)
y_train = train['target']
feat_labels = X_train.columns
rf = RandomForestClassifier(n_estimators=1000, random_state=0, n_jobs=-1)
rf.fit(X_train,y_train)
importances = rf.feature_importances_
indices = np.argsort(rf.feature_importances_)[::-1] # 변수 중요도 내림차순 정렬
for f in range(X_train.shape[1]) :
print("%2d) %-*s %f" % (f+1, 30, feat_labels[indices[f]],importances[indices[f]]))
StandardScaling을 이용
- Module Numba
모델의 성능 향상에 관여하는 모듈
<공식문서>
"Numba makes Python code fast.
Numba is an open source JIT compiler that translates a subset of Python and NumPy code into fast machine code."
-> 넘파이 코드를 빠르게 실행시켜주는 JIT 컴파일러
평가 지표인 지니 계수는 python에 생성되어 있는 모듈이 아니기 때문에 이를 계산하기 위한 함수 생성
@jit
def eval_gini(y_true, y_prob) :
y_true = np.asarray(y_true) # numba가 이해할 수 있는 형식으로 변환
y_true = y_true[np.argsort(y_prob)]
ntrue= 0
gini =0
delta = 0
n=len(y_true)
for i in range(n-1,-1,-1) :
y_i = y_true[i]
ntrue += y_i
gini += y_i * delta
delta += 1-y_i
gini = 1-2*gini/(ntrue*(n-ntrue))
return gini
해당 커널에서 분류에 사용한 XGBClassifier모델은 평가 지표로 rmse와 같은 값을 사용 -> 즉 오류의 최솟값을 찾음
이 대회의 평가 지표인 지니 계수 : 0.5에 가까울수록(값이 클수록) 좋은 값이기 때문에 -를 붙여주는 함수를 생성
def gini_xgb(preds, dtrain) :
labels = dtrain.get_label()
gini_score = -eval_gini(labels,preds)
return [('gini',gini_score)]
<모델링 방식>
XGBClassifer에 대해 KFold 교차 검증 실시
K = 5
kf = KFold(n_splits= K, random_state=1, shuffle = True)
np.random.seed(0)
model = XGBClassifier(
n_estimators = MAX_ROUNDS,
max_depth = 4,
objective = 'binary:logistic', # target : binary 값이므로 학습 목표를 명확히 지정
learning_rate = LEARNING_RATE,
subsample = .8, # 데이터의 0.8을 데이터 생성에 사용
min_child_weight = 6,
colsample_bytree = .8, # 각 트리에 얼마의 column을 이용해서 구성할 것인지
scale_pos_weight = 1.6,
gamma = 10,
reg_alpha=10,
reg_lambda=1.3)
for i, (train_index, test_index) in enumerate(kf.split(train)) :
y_train,y_valid = y.iloc[train_index].copy(), y.iloc[test_index]
X_train,X_valid = X.iloc[train_index,:].copy(), X.iloc[test_index, :].copy()
X_test = test.copy()
print("\nFold", i )
for f in f_cats :
X_train[f + "_avg"], X_valid[f+'_avg'], X_test[f+"_avg"] = target_encode(
trn_series= X_train[f],
val_series=X_valid[f],
tst_series=X_test[f],
target=y_train,
min_samples_leaf=200,
smoothing=10,
noise_level=0)
if OPTIMIZE_ROUNDS :
eval_set = [(X_valid,y_valid)]
fit_model = model.fit(X_train,y_train, eval_set=eval_set,
eval_metric=gini_xgb,
early_stopping_rounds = EARLY_STOPPING_ROUNDS,
verbose=False)
print("Best N trees = ", model.best_ntree_limit)
print("Best gini = ",model.best_score)
else :
fit_model = model.fit(X_train,y_train)
pred = fit_model.predict_proba(X_valid)[:,1] # 1로 분류될 확률에 대한 열을 가져옴
print("Gini = ", eval_gini(y_valid,pred))
y_valid_pred.iloc[test_index] = pred
y_test_pred += fit_model.predict_proba(X_test)[:,1]
del X_test, X_train, X_valid, y_train
print("\nGini for full training set : ")
eval_gini(y,y_valid_pred)| [코드 분석 스터디] Binary Classification: Image Classfication - Statoil/C-CORE Iceberg Classifier Challenge (2) | 2021.09.25 |
|---|---|
| [코드 분석 스터디] Multi-class classification : Image classification - TensorFlow Speech Recognition Challenge (2) | 2021.09.23 |
| [코드 분석 스터디] Binary Classification - Titanic (EDA to Prediction) (5) | 2021.09.16 |
| [코드 분석 스터디] 스터디 진행 계획 및 방법 (0) | 2021.09.09 |
| 코드 분석 스터디 소개 (0) | 2021.08.27 |
댓글 영역